[ Новые сообщения · Участники · Правила форума · Поиск · RSS ]



  • Страница 1 из 1
  • 1
Модератор форума: GeorgySmith, KAMEROved_2  
Траблы с Coolpak 6000
IspoliNДата: Четверг, 05.Май.2016, 12:00 | Сообщение # 1
Стажер
У вас сообщений: 31
Инженер
OFFлайн
Российская Федерация

Russia
Доброго всем! ТовариСЧи!Кто-нибудь сталкивался с проблемами подключения или имел положительный опыт в данном вопросе?
Нужно сбросить ошибки. Все настройки соединения через COM-порт в терминале - верны (4800,1,8,N,1) и т.д. Но ни через терминал, ни через putty соединение установить невозможно... :(


Сообщение отредактировал IspoliN - Пятница, 06.Май.2016, 09:07
 
IspoliNДата: Суббота, 07.Май.2016, 11:24 | Сообщение # 2
Стажер
У вас сообщений: 31
Инженер
OFFлайн
Российская Федерация

Russia
Неужели никто не боролся с этой проблемой?
 
KVIДата: Понедельник, 09.Май.2016, 12:05 | Сообщение # 3
Техник
У вас сообщений: 396
МРТ
OFFлайн
Российская Федерация

Елец
А на фига эти ошибки сбрасывать? Насколько я помню, они сами сбрасываются после отключения питания компрессора - естественно после устранения причины. Ну и, конечно, обесточив крио, надо подождать пока на плате контроллера все конденсаторы разрядятся.

-=Vladimir=-
 
DisseliteДата: Вторник, 10.Май.2016, 11:26 | Сообщение # 4
Стажер
У вас сообщений: 4
Инжинер МРТ
OFFлайн
Российская Федерация

Воронеж
Кнопками не сбрасываются.Перекидывали мозги с одного криокомпрессора на другой,ошибки остаются.Может у кого получилось достучаться через шнур?
 
filaddДата: Вторник, 10.Май.2016, 14:13 | Сообщение # 5
Стажер
У вас сообщений: 7
Технический директор
OFFлайн
Российская Федерация

Воронеж
Так у вас контактные проблемы с датчиками температуры, либо низкое давление либо мотор в блокировке висит . Что за ошибки то висят?

Работаю в tomoservice.ru
 
DisseliteДата: Четверг, 12.Май.2016, 10:03 | Сообщение # 6
Стажер
У вас сообщений: 4
Инжинер МРТ
OFFлайн
Российская Федерация

Воронеж
Начну по порядку.Встал Криокомпрессор coolpak 6000,по ошибке LOCKED ROTOR.Погорела одна фаза на компрессоре.Заменили пускатель и шнур,не помогло.Нашли на складе мозги от него,воткнули.Начал выдавать ошибку Mains Level,но сам работает пару минут и выключается.Запихнули другие мозги(рабочие) - все заработало.Пришли к выводу,что ошибку надо скинуть через шнур RS232.Собственно,кто подключался?
 
filaddДата: Понедельник, 16.Май.2016, 13:50 | Сообщение # 7
Стажер
У вас сообщений: 7
Технический директор
OFFлайн
Российская Федерация

Воронеж
Цитата Disselite ()
Собственно,кто подключался?

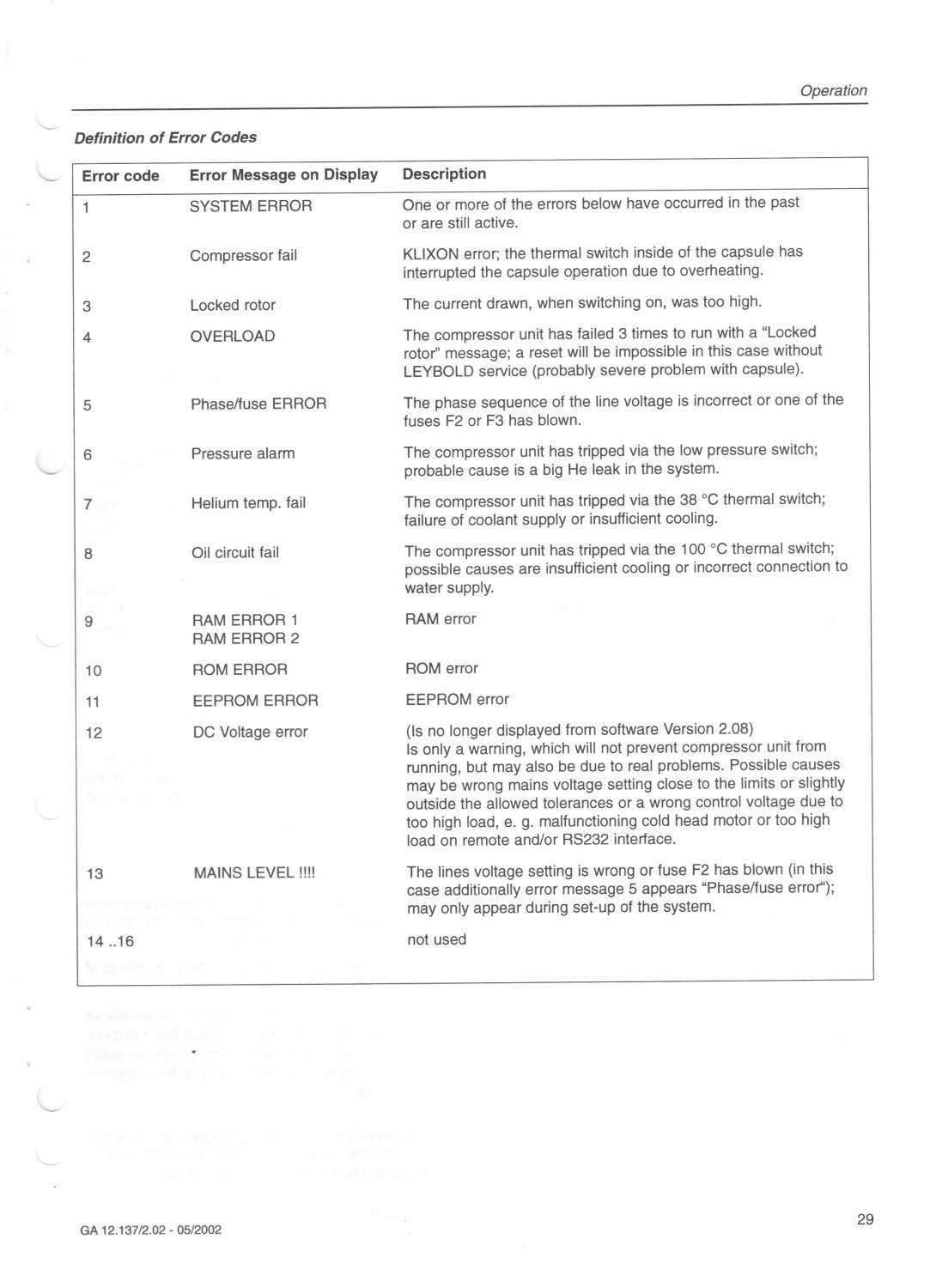
Похоже, никто так не загонялся. Я искал способ обнулить счетчик моточасов после полного техобслуживания компрессора, но оказалось проще впаивать пустую новую флешку, тем более что они со временем и сами начинают глючить и сбрасывать счетчик на ноль.
Не думаю что дело в сбросе ошибки, похоже у вас с контроллером аппаратная трабла. Посмотри траубшутинг.
5693525.jpg (129.0 Kb)


Работаю в tomoservice.ru
 
sledgeДата: Четверг, 19.Май.2016, 08:46 | Сообщение # 8
Участник
У вас сообщений: 192
инженер
OFFлайн
Российская Федерация

Санкт-Петербург
Цитата Disselite ()
Кнопками не сбрасываются


Тремя кнопками, верно?
 
IspoliNДата: Пятница, 20.Май.2016, 11:47 | Сообщение # 9
Стажер
У вас сообщений: 31
Инженер
OFFлайн
Российская Федерация

Russia
И двумя, и тремя... Не реагирует
 
IspoliNДата: Пятница, 20.Май.2016, 11:49 | Сообщение # 10
Стажер
У вас сообщений: 31
Инженер
OFFлайн
Российская Федерация

Russia
Верх берет спортивный интерес- просто достучаться до него
 
IspoliNДата: Суббота, 24.Июн.2017, 14:10 | Сообщение # 11
Стажер
У вас сообщений: 31
Инженер
OFFлайн
Российская Федерация

Russia
Замена кондеров на мозгах дала результат...
 
VictorkДата: Четверг, 09.Авг.2018, 12:58 | Сообщение # 12
Заглянувший
У вас сообщений: 1
инженер
OFFлайн
Российская Федерация

Чебоксары
Подскажите в итоге, как достучаться к кулпаку через rs232
 
OdysseyДата: Пятница, 15.Фев.2019, 13:35 | Сообщение # 13
Стажер
У вас сообщений: 35
инженер
OFFлайн
Российская Федерация

г.Томск
Цитата Victork ()
Подскажите в итоге, как достучаться к кулпаку через rs232
При подключении есть ньюанс - соединение Компьютер<->Coolpak по rs232 не кроссовое, а прямое.
Т.е. второй пин (Rx) на второй, третий (Tx) на третий... ну и пятый (GND) к пятому. При кроссовом 2->3, 3->2, 5->5.
 
  • Страница 1 из 1
  • 1
Поиск:



Статистика Форума
Последние обновления тем: Новые файлы хранилища: Новые участники: Top10 участников:
1. Анализатор поля зрени...[SpirituS (04.Дек.2025)]
2. Программный комплекс ...[mqubali (04.Дек.2025)]
3. Кардиорегистратор «ИК...[albano18 (04.Дек.2025)]
4. Thermo Scientific gem...[viggen (03.Дек.2025)]
5. Центрифуга CM-6M ф.El...[Ningen64 (03.Дек.2025)]
6. Дефибриллятор Defi B ...[san-che30 (02.Дек.2025)]
7. Коллиматор Ralco R 22...[seeker (02.Дек.2025)]
8. КУПЛЮ/ПРИМУ в дар при...[seabee (02.Дек.2025)]
9. Центрифуга MiniSpin P...[AntonioPetty (01.Дек.2025)]
1. VIVIX Setup Operation...[12.Окт.2025]
2. GenwareMP[10.Сен.2025]
3. Настройка реагентов M...[20.Авг.2025]
4. Philips HD3-EXP[13.Авг.2025]
5. Рентгеновское оборудо...[08.Авг.2025]
6. VersaMed iVent201 Сер...[13.Фев.2025]
7. Гелпик КРД Ренекс РЦ ...[09.Фев.2025]
8. Офтальмологическая ус...[31.Окт.2024]
9. Cardinal-Health-VELA-...[03.Окт.2024]
10. Service Manual HAMILT...[02.Окт.2024]
1. Intellect[05.Дек.2025]
2. Romanivanov[05.Дек.2025]
3. igogoigogo[05.Дек.2025]
4. 1rishka[04.Дек.2025]
5. L_V_N[04.Дек.2025]
6. ИвановИИ[04.Дек.2025]
7. Alex_U[04.Дек.2025]
8. Yarikus03[03.Дек.2025]
9. EvaLen[03.Дек.2025]
10. dankurets[03.Дек.2025]
МастерБаку[583]
Yulana34[177]
Serg74[160]
Dimitrius[129]
naves[122]
РОМУЛ[121]
bektyish[121]
madmac[116]
Алекс-200[114]
begun_a[112]